Nonword Repetition Performance Differentiates Children Who Stutter With and Without Concomitant Speech Sound and Developmental Language Disorders

Abstract

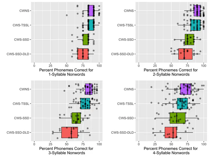
The aim of this study was to examine how nonword repetition (NWR) performance may be impacted by the presence of concomitant speech and lan- guage disorders in young children who stutter (CWS).One hundred forty-one children (88 CWS and 53 children who do not stutter [CWNS]) participated. CWS were divided into groups based on the presence of speech sound and/or language disorder or typical speech sound production and language abilities. NWR abilities were measured using stimuli composed of one- to four-syllable nonwords.CWS with typical speech and language and CWNS had higher accu- racy scores than CWS with concomitant speech and language disorders. We found no difference in accuracy scores between CWNS and CWS with typical speech and language abilities, nor did we find differences between CWS with speech sound disorder and CWS with both speech sound and language dis- orders. Accuracy decreased as nonword length increased for all groups.We found that the presence of a concomitant speech and lan- guage disorder was a driving factor behind poorer NWR performance in CWS. Accuracy scores differentiated CWS with concomitant disorders from CWS with typical speech and language but not CWS with typical speech and language from CWNS. Considering the speech and language abilities of CWS helped clar- ify poorer NWR performance and enhances generalizability to the population that exists clinically.