 
    
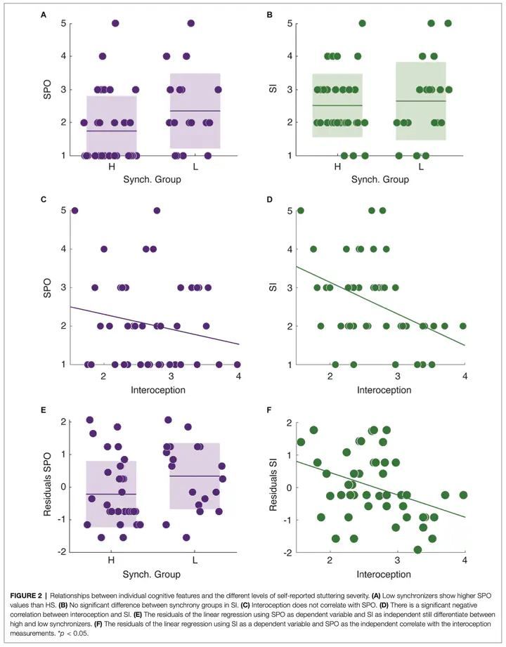
  Stuttering is a neurodevelopmental speech disorder associated with motor timing that differs from nonstutterers. While neurodevelopmental disorders impacted by timing are associated with compromised auditory motor integration and interoception, the interplay between those abilities and stuttering remains unexplored. Here, we studied the relationships between speech auditory motor synchronization (a proxy for auditory-motor integration), interoceptive awareness, and self-reported stuttering severity using remotely delivered assessments. Results indicate that in general, stutterers and nonstutterers exhibit similar auditory motor integration and interoceptive abilities. However, while speech auditory motor synchrony (i.e., integration) and interoceptive awareness were not related, speech synchrony was inversely related to the speaker’s perception of stuttering severity as perceived by others, and interoceptive awareness was inversely related to selfreported stuttering impact.